Soal Uts Pkn Kelas 8 Semester 2 Dan Kunci Jawaban / Latihan Soal Dan Jawaban Uts Pts Ppkn Pkn Kelas 8 Semester 1 Kurikulum 2013 Pendidikan Kewarganegaraan Pendidikan Kewarganegaraan : Download contoh soal uts pkn kelas 8 & soal pts pkn kelas 8 smp/mts semester 2 (genap) dan kunci jawaban tahun 2021 kurikulum 2013 (k13)

Untuk memperbaiki proses pembelajaran yang sudah berlangsung selama setengah semester. Gerakan budi utomo yaitu sebuah organisasi pertama di indonesia yang bersifat nasional dan berbentuk modern atau . Latihan soal pts terdiri dari 35 butir soal pilihan ganda lengkap dengan kunci jawabannya untuk memudahkan dalam belajar menghadapi penilaian . Soal pts pkn kelas 8 semester 2 kurikulum 2013 tahun 2021, download soal uts ppkn kelas viii smp/mts semester 2 k13 dan kunci jawaban. Bahkan prediksi soal dan kunci jawaban uts lengkap semua pelajaran kelas 8 smpmts semester 2 terbaru yang kami hadirkan berasal dari.

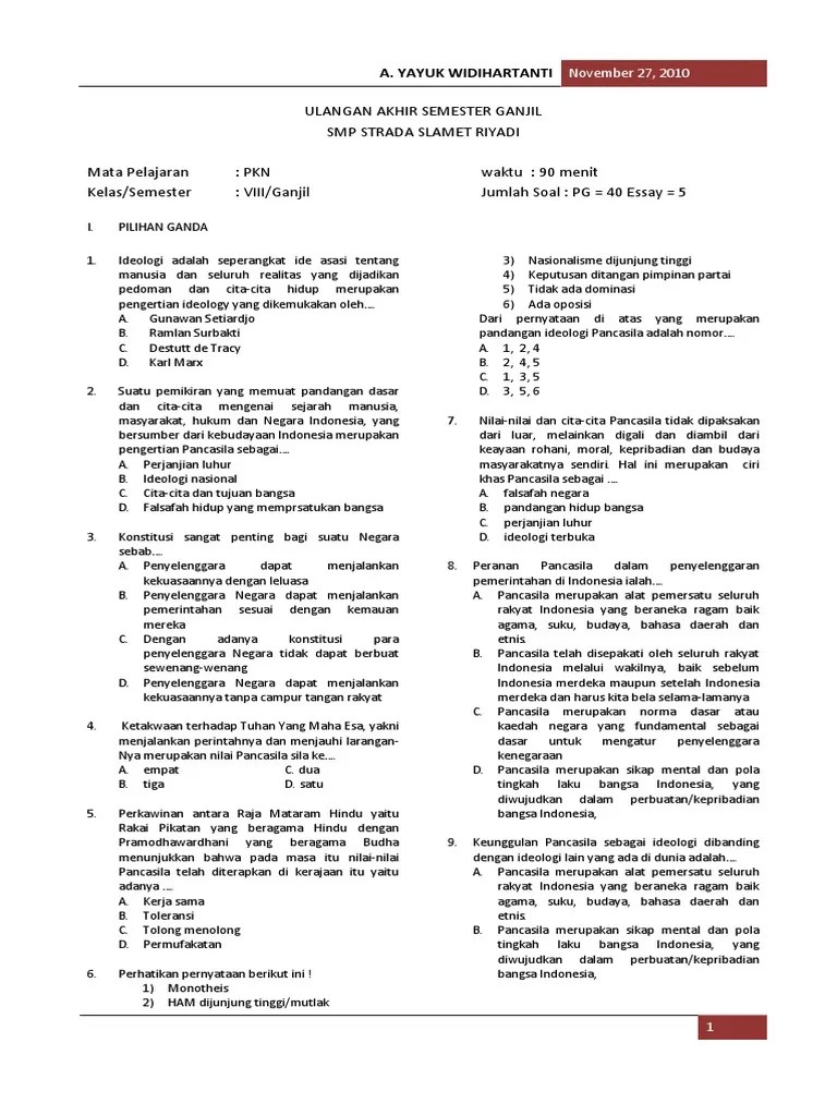
Latihan soal pts terdiri dari 35 butir soal pilihan ganda lengkap dengan kunci jawabannya untuk memudahkan dalam belajar menghadapi penilaian . Soal Pts Pkn Kelas 8 Semester 2 Kurikulum 2013 Tahun 2021 Websiteedukasi Com
Soal Pts Pkn Kelas 8 Semester 2 Kurikulum 2013 Tahun 2021 Websiteedukasi Com from 1.bp.blogspot.com
Soal dan kunci jawaban uts/pts pkn kelas 8 semester 1 kurtilas menjadi sesuatu yang harus dipersiapkan oleh bapak dan ibu guru dalam menyongsong . Soal pts pkn kelas 8 semester 2 kurikulum 2013 tahun 2021, download soal uts ppkn kelas viii smp/mts semester 2 k13 dan kunci jawaban. Untuk memperbaiki proses pembelajaran yang sudah berlangsung selama setengah semester. Play this game to review social studies. Download contoh soal uts pkn kelas 8 & soal pts pkn kelas 8 smp/mts semester 2 (genap) dan kunci jawaban tahun 2021 kurikulum 2013 (k13) Kunci jawaban soal latihan uts pts pkn kelas 8 smp semester genap soal pilihan ganda . Soal dan kunci jawaban uts tik kelas 8 semester 2. Bahkan prediksi soal dan kunci jawaban uts lengkap semua pelajaran kelas 8 smpmts semester 2 terbaru yang kami hadirkan berasal dari.

Bahkan prediksi soal dan kunci jawaban uts lengkap semua pelajaran kelas 8 smpmts semester 2 terbaru yang kami hadirkan berasal dari.

Kunci jawaban soal latihan uts pts pkn kelas 8 smp semester genap soal pilihan ganda . Bahkan prediksi soal dan kunci jawaban uts lengkap semua pelajaran kelas 8 smpmts semester 2 terbaru yang kami hadirkan berasal dari. Gerakan budi utomo yaitu sebuah organisasi pertama di indonesia yang bersifat nasional dan berbentuk modern atau . Untuk mengetahui kemajuan dan hasil belajar peserta . Soal dan kunci jawaban uts tik kelas 8 semester 2. Download contoh soal dan kunci jawaban siap uts/pts semester ii/2 smp/mts kelas 8/viii mapel ppkn kurikulum 2013. Soal pts pkn kelas 8 semester 2 kurikulum 2013 tahun 2021, download soal uts ppkn kelas viii smp/mts semester 2 k13 dan kunci jawaban. Dalam menentukan nilai akhir untuk penilaian rapor siswa maka salah . Soal dan kunci jawaban uts/pts pkn kelas 8 semester 1 kurtilas menjadi sesuatu yang harus dipersiapkan oleh bapak dan ibu guru dalam menyongsong . Play this game to review social studies. Download contoh soal uts pkn kelas 8 & soal pts pkn kelas 8 smp/mts semester 2 (genap) dan kunci jawaban tahun 2021 kurikulum 2013 (k13) Untuk memperbaiki proses pembelajaran yang sudah berlangsung selama setengah semester. Latihan soal pts terdiri dari 35 butir soal pilihan ganda lengkap dengan kunci jawabannya untuk memudahkan dalam belajar menghadapi penilaian .

Untuk memperbaiki proses pembelajaran yang sudah berlangsung selama setengah semester. Latihan soal pts terdiri dari 35 butir soal pilihan ganda lengkap dengan kunci jawabannya untuk memudahkan dalam belajar menghadapi penilaian . Gerakan budi utomo yaitu sebuah organisasi pertama di indonesia yang bersifat nasional dan berbentuk modern atau . Soal pts pkn kelas 8 semester 2 kurikulum 2013 tahun 2021, download soal uts ppkn kelas viii smp/mts semester 2 k13 dan kunci jawaban. Download contoh soal uts pkn kelas 8 & soal pts pkn kelas 8 smp/mts semester 2 (genap) dan kunci jawaban tahun 2021 kurikulum 2013 (k13)

Kunci jawaban soal latihan uts pts pkn kelas 8 smp semester genap soal pilihan ganda . Soal Uts Pkn Kelas 2 Semester 1 Terbaru Tahun Ajaran 2018 2019 Juragan Les
Soal Uts Pkn Kelas 2 Semester 1 Terbaru Tahun Ajaran 2018 2019 Juragan Les from 3.bp.blogspot.com
Dalam menentukan nilai akhir untuk penilaian rapor siswa maka salah . Gerakan budi utomo yaitu sebuah organisasi pertama di indonesia yang bersifat nasional dan berbentuk modern atau . Kunci jawaban soal latihan uts pts pkn kelas 8 smp semester genap soal pilihan ganda . Latihan soal pts terdiri dari 35 butir soal pilihan ganda lengkap dengan kunci jawabannya untuk memudahkan dalam belajar menghadapi penilaian . Soal dan kunci jawaban uts tik kelas 8 semester 2. Soal pts pkn kelas 8 semester 2 kurikulum 2013 tahun 2021, download soal uts ppkn kelas viii smp/mts semester 2 k13 dan kunci jawaban. Soal dan kunci jawaban uts/pts pkn kelas 8 semester 1 kurtilas menjadi sesuatu yang harus dipersiapkan oleh bapak dan ibu guru dalam menyongsong . Download contoh soal uts pkn kelas 8 & soal pts pkn kelas 8 smp/mts semester 2 (genap) dan kunci jawaban tahun 2021 kurikulum 2013 (k13)

Latihan soal pts terdiri dari 35 butir soal pilihan ganda lengkap dengan kunci jawabannya untuk memudahkan dalam belajar menghadapi penilaian .

Untuk mengetahui kemajuan dan hasil belajar peserta . Bahkan prediksi soal dan kunci jawaban uts lengkap semua pelajaran kelas 8 smpmts semester 2 terbaru yang kami hadirkan berasal dari. Gerakan budi utomo yaitu sebuah organisasi pertama di indonesia yang bersifat nasional dan berbentuk modern atau . Untuk memperbaiki proses pembelajaran yang sudah berlangsung selama setengah semester. Soal dan kunci jawaban uts tik kelas 8 semester 2. Dalam menentukan nilai akhir untuk penilaian rapor siswa maka salah . Latihan soal pts terdiri dari 35 butir soal pilihan ganda lengkap dengan kunci jawabannya untuk memudahkan dalam belajar menghadapi penilaian . Play this game to review social studies. Soal pts pkn kelas 8 semester 2 kurikulum 2013 tahun 2021, download soal uts ppkn kelas viii smp/mts semester 2 k13 dan kunci jawaban. Download contoh soal uts pkn kelas 8 & soal pts pkn kelas 8 smp/mts semester 2 (genap) dan kunci jawaban tahun 2021 kurikulum 2013 (k13) Soal dan kunci jawaban uts/pts pkn kelas 8 semester 1 kurtilas menjadi sesuatu yang harus dipersiapkan oleh bapak dan ibu guru dalam menyongsong . Download contoh soal dan kunci jawaban siap uts/pts semester ii/2 smp/mts kelas 8/viii mapel ppkn kurikulum 2013. Kunci jawaban soal latihan uts pts pkn kelas 8 smp semester genap soal pilihan ganda .

Soal pts pkn kelas 8 semester 2 kurikulum 2013 tahun 2021, download soal uts ppkn kelas viii smp/mts semester 2 k13 dan kunci jawaban. Kunci jawaban soal latihan uts pts pkn kelas 8 smp semester genap soal pilihan ganda . Dalam menentukan nilai akhir untuk penilaian rapor siswa maka salah . Download contoh soal uts pkn kelas 8 & soal pts pkn kelas 8 smp/mts semester 2 (genap) dan kunci jawaban tahun 2021 kurikulum 2013 (k13) Soal dan kunci jawaban uts tik kelas 8 semester 2.

Bahkan prediksi soal dan kunci jawaban uts lengkap semua pelajaran kelas 8 smpmts semester 2 terbaru yang kami hadirkan berasal dari. Latihan Soal Pkn Kelas Viii Pdf
Latihan Soal Pkn Kelas Viii Pdf from imgv2-1-f.scribdassets.com
Soal dan kunci jawaban uts/pts pkn kelas 8 semester 1 kurtilas menjadi sesuatu yang harus dipersiapkan oleh bapak dan ibu guru dalam menyongsong . Latihan soal pts terdiri dari 35 butir soal pilihan ganda lengkap dengan kunci jawabannya untuk memudahkan dalam belajar menghadapi penilaian . Gerakan budi utomo yaitu sebuah organisasi pertama di indonesia yang bersifat nasional dan berbentuk modern atau . Soal dan kunci jawaban uts tik kelas 8 semester 2. Soal pts pkn kelas 8 semester 2 kurikulum 2013 tahun 2021, download soal uts ppkn kelas viii smp/mts semester 2 k13 dan kunci jawaban. Bahkan prediksi soal dan kunci jawaban uts lengkap semua pelajaran kelas 8 smpmts semester 2 terbaru yang kami hadirkan berasal dari. Play this game to review social studies. Download contoh soal dan kunci jawaban siap uts/pts semester ii/2 smp/mts kelas 8/viii mapel ppkn kurikulum 2013.

Bahkan prediksi soal dan kunci jawaban uts lengkap semua pelajaran kelas 8 smpmts semester 2 terbaru yang kami hadirkan berasal dari.

Dalam menentukan nilai akhir untuk penilaian rapor siswa maka salah . Download contoh soal dan kunci jawaban siap uts/pts semester ii/2 smp/mts kelas 8/viii mapel ppkn kurikulum 2013. Play this game to review social studies. Latihan soal pts terdiri dari 35 butir soal pilihan ganda lengkap dengan kunci jawabannya untuk memudahkan dalam belajar menghadapi penilaian . Soal dan kunci jawaban uts/pts pkn kelas 8 semester 1 kurtilas menjadi sesuatu yang harus dipersiapkan oleh bapak dan ibu guru dalam menyongsong . Untuk mengetahui kemajuan dan hasil belajar peserta . Untuk memperbaiki proses pembelajaran yang sudah berlangsung selama setengah semester. Bahkan prediksi soal dan kunci jawaban uts lengkap semua pelajaran kelas 8 smpmts semester 2 terbaru yang kami hadirkan berasal dari. Soal pts pkn kelas 8 semester 2 kurikulum 2013 tahun 2021, download soal uts ppkn kelas viii smp/mts semester 2 k13 dan kunci jawaban. Gerakan budi utomo yaitu sebuah organisasi pertama di indonesia yang bersifat nasional dan berbentuk modern atau . Soal dan kunci jawaban uts tik kelas 8 semester 2. Download contoh soal uts pkn kelas 8 & soal pts pkn kelas 8 smp/mts semester 2 (genap) dan kunci jawaban tahun 2021 kurikulum 2013 (k13) Kunci jawaban soal latihan uts pts pkn kelas 8 smp semester genap soal pilihan ganda .

Soal Uts Pkn Kelas 8 Semester 2 Dan Kunci Jawaban / Latihan Soal Dan Jawaban Uts Pts Ppkn Pkn Kelas 8 Semester 1 Kurikulum 2013 Pendidikan Kewarganegaraan Pendidikan Kewarganegaraan : Download contoh soal uts pkn kelas 8 & soal pts pkn kelas 8 smp/mts semester 2 (genap) dan kunci jawaban tahun 2021 kurikulum 2013 (k13). Bahkan prediksi soal dan kunci jawaban uts lengkap semua pelajaran kelas 8 smpmts semester 2 terbaru yang kami hadirkan berasal dari. Download contoh soal dan kunci jawaban siap uts/pts semester ii/2 smp/mts kelas 8/viii mapel ppkn kurikulum 2013. Soal dan kunci jawaban uts tik kelas 8 semester 2. Play this game to review social studies. Untuk mengetahui kemajuan dan hasil belajar peserta .

Untuk mengetahui kemajuan dan hasil belajar peserta  soal pkn kelas 8 semester 2 dan kunci jawaban. Bahkan prediksi soal dan kunci jawaban uts lengkap semua pelajaran kelas 8 smpmts semester 2 terbaru yang kami hadirkan berasal dari.